1 / 35

Analysis Collaboration Meeting in Krakow - 30/9/99 - Results and Kinematics Overview

This document provides an overview of data selection, cuts, corrections, and new results from the Zeus Collaboration Meeting in Krakow. It includes a discussion on high-Q2 sensitivity, xF3 distribution, and electroweak parameters analysis. Various reconstruction methods and systematic checks are also detailed.

tola
Télécharger la présentation

Analysis Collaboration Meeting in Krakow - 30/9/99 - Results and Kinematics Overview

An Image/Link below is provided (as is) to download presentation Download Policy: Content on the Website is provided to you AS IS for your information and personal use and may not be sold / licensed / shared on other websites without getting consent from its author. Content is provided to you AS IS for your information and personal use only. Download presentation by click this link. While downloading, if for some reason you are not able to download a presentation, the publisher may have deleted the file from their server. During download, if you can't get a presentation, the file might be deleted by the publisher.

E N D

Presentation Transcript


  1. ZEUS COLLABORATION MEETING - KRAKOW - 30/9/99 NC 98/99Analysis C. M. Cormack (RAL) Jason Breitweg, Ricardo Goncalo, Alexander Kappes, Amaya Lopez Duran-Viani, Matthias Moritz, Henning Schnurbusch. • INTRODUCTION THEORYOVERVIEW • SELECTION DATA, CUTS, CORRECTIONS, EPS 99 RESULTS • NEW RESULTS 98/99 e- • NEW RESULTS 99 e+ • STUDIES INITIATED • SUMMARY - GOALS

  2. THEORY + MOTIVATION L.O. QCD: • HIGH Q2 • SENSITIVITY TO Z0 EXCHANGE • xF3 , VALENCE QUARK DISTRIBUTION • ELECTROWEAK PARAMETERS

  3. ELECTROWEAK PHYSICS AT HERA e+/-g -/+ Z0 e+ : e-d:u

  4. Excluded runs31728 - 31752 Noise 32125 - 32142 - Noise in BCAL 31892 - LASER 31893 - Test Trigger 31700 - LPS PROBLEM 30894, 31025, 31029 - EMPTY EVENT INFORMATION (NO ZES) Event Selection ALL 1998 - 1999 ELECTRON DATA Results From C. Cormack, A. Kappes * Run Range 30758 - 32906 END OF 1999 BITS USED : b12 1998 and b107 in 1999 Total Luminosity = 15.945 pb-1 “Preliminary number”

  5. KINEMATIC CUTS: Q2 > 200.0 (800) GeV2 Yel <0.95 0. < xBJ < 1. 0. < y < 1. CUTS SELECTION CUTS: SINISTRA + EM Ee > 10 GeV -50 cm < z-vertex < 50 cm FOR THETA > 0.3 - TRACK MATCH DCA < 10 cm : TRACK WITH p > 5 GeV - 38 GeV < E-pz < 65 GeV FOR THETA < 0.3 - ET Electron > 30 GeV - 44 < E-pz < 65 GeV CONE ISOLATION < 5 GeV

  6. Q2 >100GeV2 200k • Q2 > 400 GeV2 20k • Q2 > 1250 GeV2 20k • Q2 > 5000 GeV2 10k • Q2 > 20000 GeV2 10k KINEMATICS AND RECONSTRUCTION (e- p) NOISE & CORRECTIONS Noise Suppression as applied in the Reconstruction and Hot cells removed using Mario Martinez’s routine RCALCORR 98 Dead Material Corrections Applied 97 MAP NON - UNIFORMITY CORRECTION 97 IN THE BCAL USED KINEMATIC RECONSTRUCTION Hadronic Reconstruction using CORANDCUT OLD Using Double Angle Kinematics MONTE CARLO MC num98t0.1 e-p DJ 6.24 CTEQ4D, ARIADNE ALSO DJH CTEQ4D MEPS 320k - SYSTEMATIC

  7. NC 98/99 Electron Control Plots Q2 > 200 GeV2 • Significant number of Electrons now in RCAL • No presampler correction as yet • Reasonable agreement

  8. NC 98/99 e-p Control Plots Q2 > 200 GeV2 • E-pz Shift from Electron Energy cf Q2 > 800 GeV2

  9. NC 98/99 e-p Control Plots - Hadronic Energy • Data shows to much Energy in FCAL • Correlation with low values of

  10. NC 98/99 e- p Q2 > 800 GeV2 Control Plots • For Q2 > 800 GeV2 distributions MC description good

  11. KINEMATICS Many different kinematic reconstruction methods exist, such as the double angle, electron, Jaquet Blondel,Sigma, E sigma, pt method and many more. Below is a list of the ones most relevant for a high Q2 Analysis. On choosing a reconstruction method one must study such things as the resolution efficiencies and purifies. Double Angle This method has been found to give the best estimate and best resolution for ZEUS at high Q2. Electron Method At high Q2 this method is considered to be the next best More Information on kinematic reconstruction methods is available from: NC 98 EPS 99, DESY 99-056, ZEUS NOTE 99-016 and many theses e.g. A. Quadt (if you can find a copy).

  12. Acceptance, Efficiency and Purity Unfolding:

  13. Number of Events - Efficiency and Purity 98/99 e- p

  14. DATA CTEQ4D High Q2 (e- p) Reduced Cross Section Q2 > 200 GeV2 STATISTICAL ERRORS ONLY ! • Reasonable agreement with Standard Model Prediction • Note: Only Data with Q2 > 800 GeV2 (e - BCAL)

  15. DATA CTEQ4D High Q2 (e- p) Reduced Cross Section Q2 > 1500 GeV2 STATISTICAL ERRORS ONLY ! • Good Agreement with the Standard Model

  16. NC 98/99 e-p Reduced Cross section

  17. Reduced Cross Section Ratio DATA / CTEQ4D

  18. Reduced Cross Section Ratio DATA / CTEQ4D

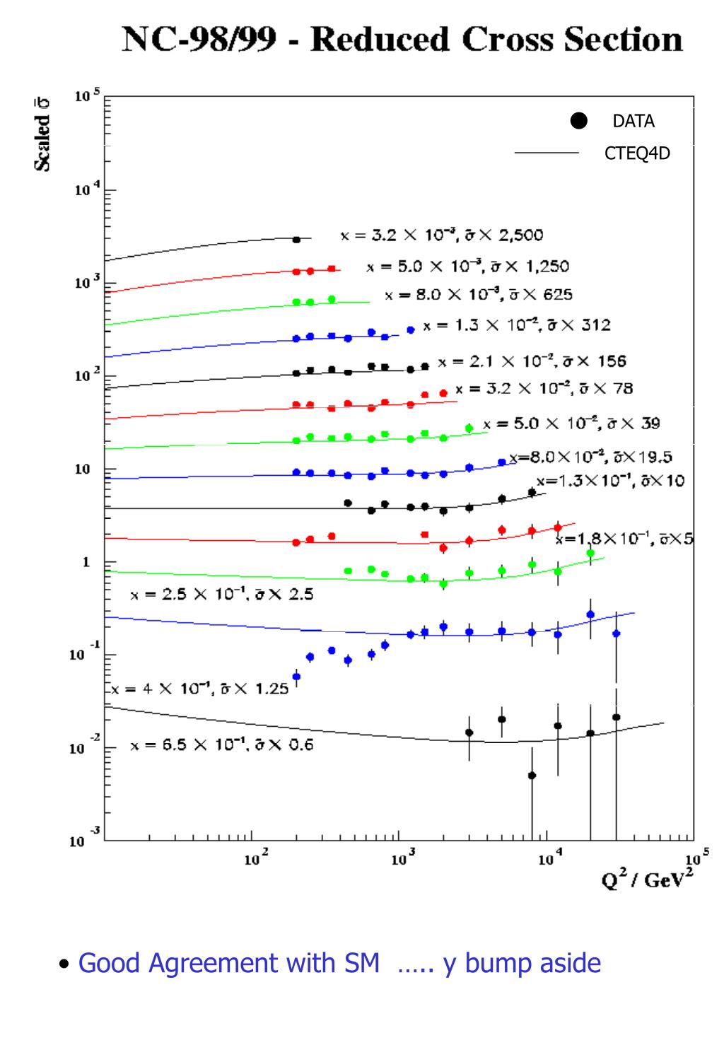
  19. DATA CTEQ4D • Good Agreement with SM ….. y bump aside

  20. NC98 - Systematic Check List Only the major systematic uncertainties are shown below ! Lowering Q2 < 200 GeV2 Presampler correction, Dead Material correction Backgrounds Photoproduction/QEDC/Prompt photon Electron finder Efficiency DATA/MC EMC energy corrections /smearing/non-uniformity CAL/Track/VTX - Matching study CAL - Track Hadronic Energy Reconstruction PT balance study ‘CorAndCut’ re-check using the latest update of the code ZUFOSNT - Cross Check FPC - New simulation leakage into FCAL Tracking FDET, Vertex finding efficiency, electron track finding efficiency Kinematics Comparison of DA, Electron,PT,eSigma

  21. I II The effect of FL is expected to be small at high Q2 (NLO QCD) First Extraction of xF3 from e+ and e- Data xF3 with Different beam Energies 94-97 (e+p)820 and 98/99 (e-p)920 To a good approximation xF3 can be expressed as : Statistical Error for data sets I and II : Study of combining new data sets (e+p)920 , A. Lpz-Duran, J. Cole See talk by C. Ginsburg

  22. First Extraction of xF3 from 47pb-1 (e+p) and 16pb-1 (e-p) Latest results from: A. Lopez-Duran Viani, M. Moritz, NC98 + F2 Teams DATA STATISTICAL ERRORS ONLY ! CTEQ 4D ZEUS FIT • xF3 significant with the current binning for Q2 > 8000 GeV2

  23. NC 98e- p ANALYSIS SUMMARY • SINGLE DIFFERENTIAL RESULTS EPS 99 • TWO EXTRACTIONS OF THE HIGH Q2 DOUBLE DIFFERENTIAL REDUCED CROSS SECTION EXIST • AT PRESENT ONLY STATISTICAL ERRORS ON THE MEASUREMENT - REASONABLE AGREEMENT WITH SM • FIRST EXTRACTION OF THE PROTON STRUCTURE FUNCTION xF3 AT HIGH Q2 > 8000 GeV2 • SYSTEMATIC CHECKS HAVE BEGUN FUTURE PLANS SINGLE AND DOUBLE DIFFERENTIAL CROSS SECTIONS Q2 > 200 GeV2 , 0 < y < 0.9 …… EXTRACTION OF HIGH Q2 xF3 Goal : Results to be made ZEUS preliminary for Moriond 3/2000 Publication Summer 2000

  24. Excluded runs 99 e+pEvent Selection Latest Results from Henning Schnurbusch (Bonn) 1999 POSITRON DATA * Run Range 33125 - 33542 BITS USED : b107 for 1999 positron 33419, 33421,33422, 33423, 33427, 33435, 33436, 33437 Total Luminosity = 4.63 pb-1 “Very Preliminary Number”

  25. KINEMATIC CUTS: Q2 > 800 GeV2 Yel <0.95 0. < xBJ < 1. 0. < y < 1. CUTS SELECTION CUTS:SINISTRA (opt. 5 Prob. >0.9) Ee > 10 GeV -50 cm < z-vertex < 50 cm FOR THETA > 0.3 - TRACK MATCH DCA < 10 cm : TRACK WITH p > 5 GeV - 38 GeV < E-pz < 65 GeV FOR THETA < 0.3 - ET Electron > 30 GeV - 44 < E-pz < 65 GeV CONE ISOLATION < 5 GeV

  26. Q2 > 400 GeV2 13k • Q2 > 1250 GeV2 2k • Q2 > 2500 GeV2 10k KINEMATICS AND RECONSTRUCTION (e- p) NOISE & CORRECTIONS Noise Suppression CALCORR Applied by hand eBCAL = 1.05 Dead Material Corrections Applied 97 MAP NON - UNIFORMITY CORRECTION 97 IN THE BCAL USED KINEMATIC RECONSTRUCTION Hadronic Reconstruction using CORANDCUT NEW Using Double Angle Kinematics MONTE CARLO MC num98t0.2 e+p DJH CTEQ4D, ARIADNE

  27. NC 99 e+ p Electron Control Plots • Reasonable agreement at high Q2 > 800 GeV2

  28. Vertex Distribution Z-Vertex looks good for 99b Negative shift in x vertex

  29. Raw Kinematic Distributions 99 e+

  30. FCAL Energies in 99 Positron Running Forward Energy Problem in 99b ? FCAL Energy distributions look in good agreement. More data to come

  31. Number of Events per Luminosity 99 e+ p Luminosity = 4.63 pb-1 • 99 positron data in reasonable shape

  32. NC 98/99 Overall Summary + Goals • NC 98/99 Electron Analysis • Single Differential cross sections - ZEUS Preliminary • Two Analyses Exist of the Double Differential cross section - Shown Today • In general good agreement with the SM • Issues: (y bump, FCAL energy, …..) • First Extraction of xF3 + Investigations of EW physics • GOAL - ZEUS PRELIMINARY Moriond 3/2000 • Aim to Finalize results for Summer 2000 • NC 99 Positron Analysis • Analysis underway • DATA is in good shape • Cross check of forward Energy problem …..

  33. NC 98/99 Analysis Team BOSS K. Long Chris Cormack / Alex Kappes - Main Electron Analysis (Everything) PAPER EDITOR, ZEUS NOTES, CONTACT PEOPLE Amaya Lopez-Duran Viani - Analysis, xF3, E-finders, Web Authoress Henning Schnurbusch - Analysis 99 e+, FTD Jason Breitweg - Analysis, Trigger, Monte Carlo Matthias Moritz - Electron/Positron 99 Analysis Ricardo Goncalo - 99 positron analysis, Vertex expert. OTHERS Jon Scott, S. Schlenstedt, N. Tunning

  34. NC 98/99 Available Data + Plans DATA • Electrons : 98 - 99a 16 pb-1 - understudy • : 2000 ~ 15 pb-1 - Expected ?? • Positrons : 94 - 97 47 pb-1 - Already Analysed • : 99b - 2000 ~ 20 pb-1 - Expected PLANS 3/2000 Public Results of 98/99a Electron Data First 1999b Positron Results ? Results Moriond 7/2000 FINAL RESULTS - ICHEP 2000

  35. SYSTEMATIC ERRORS SYSTEMATIC VARIATION 1. Electron Energy scale +/- 3 % 2. Hadronic Energy Scale +/- 3% 3. Variation of the electron smearing 9% +/- 1 % 4. Varying the lower E-pz cut +/- 2 GeV 5. Change yEL < 0.9 6. Vary Econe +/- 2 GeV 7. Vary pt/sqrt(Et) from 4 +/- 2 GeV 8. Vertex Reweighting on and off 9. Increase ZVTX + 10 cm 10. Acceptance using MEPS 11. Rescaling of 1st IR 12. DCA CUT 8. cm -2. cm 13. CAL THETA 14. SINISTRA - EM UNCERTAINTY IN LUMINOSITY 2.5 % NOT SHOW PLOTS >>>>>>>>>

More Related