wolfe
Uploaded by
71 SLIDES
873 VUES
710LIKES

Circuits Theory Examples

DESCRIPTION

Circuits Theory Examples. Newton-Raphson Method. Formula for one-dimensional case : . Series of successive solutions :. If the iteration process is converged , the limit is the solution of the equation f(x)=0. Multidimensional case :. where :. JACOBI AN MATRIX. ALGOR ITHM.

1 / 71

Télécharger la présentation

Circuits Theory Examples

An Image/Link below is provided (as is) to download presentation Download Policy: Content on the Website is provided to you AS IS for your information and personal use and may not be sold / licensed / shared on other websites without getting consent from its author. Content is provided to you AS IS for your information and personal use only. Download presentation by click this link. While downloading, if for some reason you are not able to download a presentation, the publisher may have deleted the file from their server. During download, if you can't get a presentation, the file might be deleted by the publisher.

E N D

Presentation Transcript


  1. Circuits TheoryExamples Newton-Raphson Method

  2. Formula for one-dimensional case: Series of successive solutions: If the iteration process is converged , the limit is the solution of the equationf(x)=0.

  3. Multidimensional case: where: JACOBIAN MATRIX

  4. ALGORITHM STARTING POINT STEP 0 STEP 1 Calculate STEP 2 Solve the equation: find STEP 3 check STOP conditions If the current solution is not acceptable: GO TO 1

  5. EXAMPLE of STOP PROCEDURE k=k+1 GOTO 1 No Yes No Yes STOP

  6. Stop condition parameter • Stop condition parameter

  7. Numerical EXAMPLES Example 1

  8. Solve the following set of nonlinearequation using the Newton’s Method:

  9. Starting point (first approximation): Calculate:

  10. where:

  11. (1a) (1b) (1c)

  12. (1a) (1b) (1c) Let us assume (1a) (1b) (1c)

  13. Gauss elimination computer scheme STEP 1 ELIMINATE y1from b i c: Multiply by and add to 1b

  14. Multiply by and add to 1c

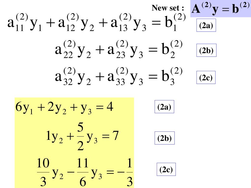
  15. New set : (2a) (2b) (2c) (2a) (2b) (2c)

  16. Elimination scheme repeat for equations 2b i 2c: (2a) Multiply by add o 2c (2b) (2c)

  17. (3a) (3b) (3c) (3a) (3b) (3c)

  18. Back substitution part: Setting y3 to 3b: Multiply by add to 3b

  19. Because It is the first calculated approximation of the solution. Next iterations form a converged series:

  20. Example 2 Nonlinear circuit having two variables (node voltages)

  21. e1 e2

  22. Data:

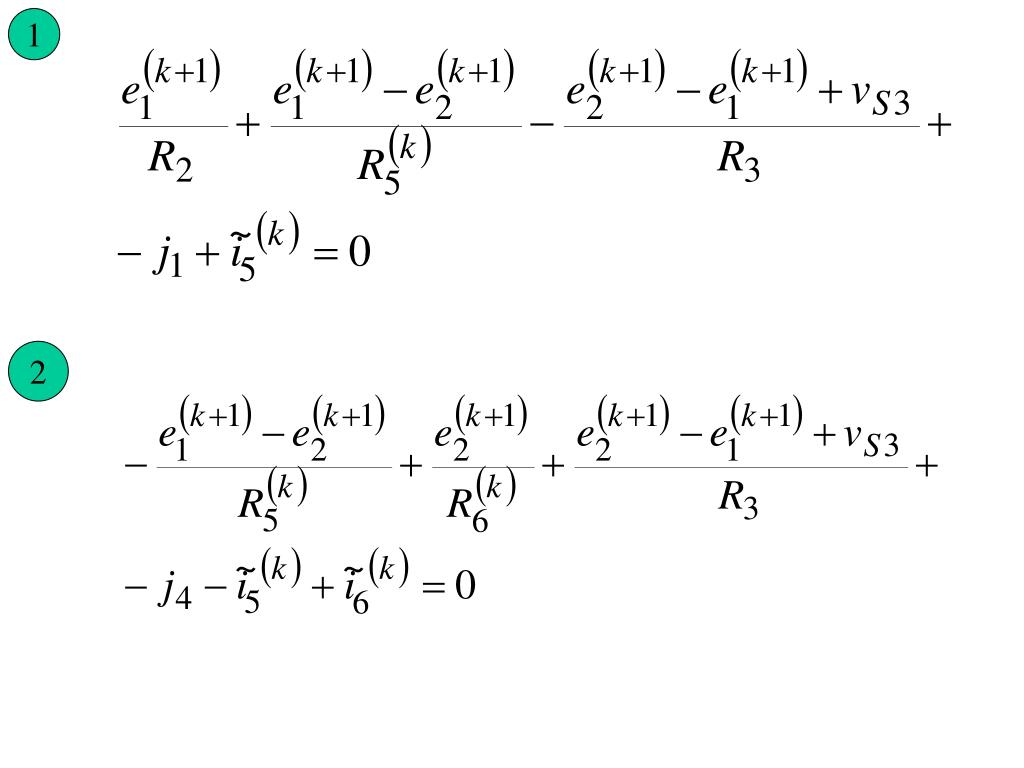
  23. Nodal equations: 1 2

  24. Jacobian matrix:

  25. We choose starting vector: Calculate:

  26. Applying N-R scheme: where: hence:

  27. STOP CRITERIA not satisfied: k=k+1:

  28. Second NR iteration where: hence:

  29. for k=7: where: hence:

  30. Because:

  31. Briefly about: Iterative models of nonlinear elements

  32. Iterative NR model of nonlinear resistor (voltage controled)

  33. From NR method: circuit

  34. Model iterowany opornika (6)

  35. Example3 Newton-Raphson Iterative model method

  36. e1 e2

  37. Data:

  38. Scheme for (k+1) iteration 1 2

  39. 1 2 1

  40. 1 2 2

  41. 1 2

  42. 1 2

  43. For starting vector: • We calculate parameters of the models:

  44. For nonlinear element g6:

  45. Linear equations for the first approximation: Solution for k=1

  46. Second step Solution for k=2

  47. Briefly about: Forward Euler Method (Explicit) Backward Euler Method (Implicit)

  48. Forward Euler Method (Explicit) Backward Euler Method (Explicit)

More Related