1 / 26

Derivation of the Nernst Equation:

Derivation of the Nernst Equation:. =( ). Why else do we care?. What else?. Other health conditions besides atrial fibrillation may result from problems with membrane potential: 1)Cystic fibrosis—poor chloride movement across the membranes

bisa
Télécharger la présentation

Derivation of the Nernst Equation:

An Image/Link below is provided (as is) to download presentation Download Policy: Content on the Website is provided to you AS IS for your information and personal use and may not be sold / licensed / shared on other websites without getting consent from its author. Content is provided to you AS IS for your information and personal use only. Download presentation by click this link. While downloading, if for some reason you are not able to download a presentation, the publisher may have deleted the file from their server. During download, if you can't get a presentation, the file might be deleted by the publisher.

E N D

Presentation Transcript


  1. Derivation of the Nernst Equation: =()

  2. Why else do we care?

  3. What else? Other health conditions besides atrial fibrillation may result from problems with membrane potential: 1)Cystic fibrosis—poor chloride movement across the membranes 2)Epilepsy may be due to poorly working voltage gated channels

  4. Intuitive picture for Flux

  5. We start with diffusive flux: Concentration per volume=mol/cm^3* 1/cm

  6. Putting them together:

  7. Combining the Drift and the Diffusion: -D -:

  8. Getting everything in terms of mobility: Replace D with the Boltzmann constant :D= - -

  9. More on the Boltzmann constant from Wikipedia: The Boltzmann constant (k or kB) is a physical constant relating energy at the individual particle level with temperature. It is the gas constantR divided by the Avogadro constantNA. k=R/NA (See thermally agitated molecule)

  10. Looking more like it: Replace with - - R is the ideal gas constant and F is the Faraday constant

  11. More on the Faraday constant from Wikipedia:(one mole of electrons) In physics and chemistry, the Faraday constant (named after Michael Faraday) is the magnitude of electric charge per mole of electrons.[1] It has the currently accepted value F = 96,485.3365(21) C/mol.[2] The constant F has a simple relation to two other physical constants: where: F=eNA e ≈ 1.6021766×10−-19 C;[3]NA ≈ 6.022141×1023 mol−1.[4]NA is the Avogadro constant (the ratio of the number of particles 'N' to the amount of substance 'n' - a unit mole), and e is the elementary charge or the magnitude of the charge of an electron.

  12. One Mole of Particles:

  13. Multiply both sides by F and z: F*z*()=F*z* (- -)

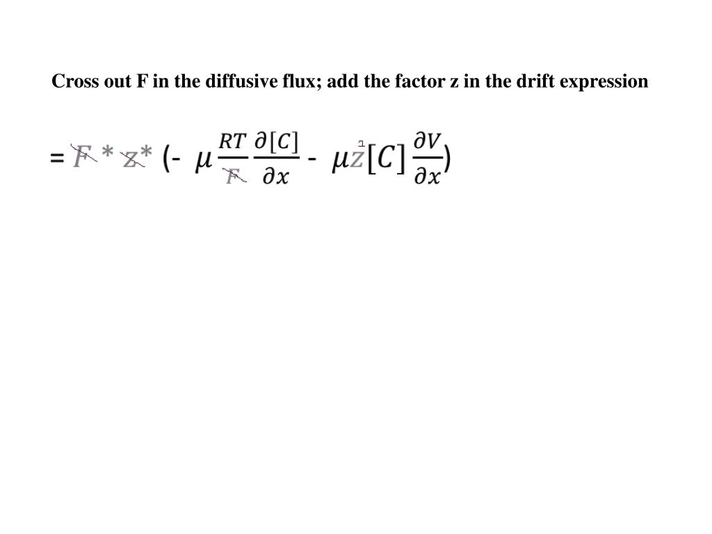
  14. Cross out F in the diffusive flux; add the factor z in the drift expression

  15. Current Flux: = - -

  16. Set equation=0 to get Nernst equation (no current) 0 = - -

  17. Factor out- 0= - +) (We see that -)

  18. Now we have the variables we want: +

  19. Move the diffusive flux term over to the LHS -

  20. Divide by -RT/Fz:

  21. Separation of Variables: Becomes

  22. Integration:

  23. Goldman-Hodgkin

  24. A little applet • http://www.nernstgoldman.physiology.arizona.edu/#download

More Related