1 / 45

Neural Computation in Discrimination Tasks: Bayesian Approaches and Optimal Decoding

This chapter explores neural computation mechanisms in the context of discrimination tasks, focusing on the comparison between behavioral responses and neural responses. It introduces key concepts such as the Bayes rule, ROC curves, and the Neyman-Pearson lemma. Using examples from monkey motor cortex and cricket cercal systems, we discuss optimal decoding, population decoding, and the implications of bias, variance, and Fisher information on decision-making. The work outlines how neural responses can be quantitatively linked to behavioral choices in discrimination scenarios.

Télécharger la présentation

Neural Computation in Discrimination Tasks: Bayesian Approaches and Optimal Decoding

An Image/Link below is provided (as is) to download presentation Download Policy: Content on the Website is provided to you AS IS for your information and personal use and may not be sold / licensed / shared on other websites without getting consent from its author. Content is provided to you AS IS for your information and personal use only. Download presentation by click this link. While downloading, if for some reason you are not able to download a presentation, the publisher may have deleted the file from their server. During download, if you can't get a presentation, the file might be deleted by the publisher.

E N D

Presentation Transcript


  1. Chapter 3 Neural Computation

  2. Outline • Comparison of behavioral and neural response on a discrimination task • Bayes rule • ROC curves • Neyman Pearson Lemma • Population decoding • Cricket cercal system • Monkey M1 motoneurons • Optimal decoding • MAP and Bayesian estimates • Relation to population vector • Fisher information Neural Computation

  3. Bayes’ rule • Let s denote a stimulus and r=(r1,…,rN) denote the response of one or more neurons. We define • The stimulus probability p(s) • The response probability p(r) • The joint probability p(r,s) and conditional probabilities p(r|s) and p(s|r) • Bayes rule: Neural Computation

  4. Stimulus is moving dot pattern with variable % of coherently moving dots. Monkey behavioral forced choice task to report direction of motion (+ or -) as a function of coherence in the stimulus (filled circles) Monkey decides on basis of neural response. Open circles are optimal discrimination performance given the neural response data Discrimination of movements Neural Computation

  5. Two alternative forced choice Neural Computation

  6. Neural Computation

  7. Optimal decision: ROC curve • The classification requires the definition of a threshold. • The threshold z affects the classification performance: • Define the false alarm rate (size) a=p(r>z|s=-) and hit rate (power) b=p(r>z|s=+) • ROC (‘receiver operating characteristic’) plot b(z) vs. a(z) • Area under curve s dab/ classification performance: • ½ is random guessing • 1 is perfect classification Neural Computation

  8. Two alternative forced choice Given a stimulus s=+ and the response in two neurons p+ and p-, That give rates r+ and r- respectively. Stimulus is classified by the highest rate. What is the probability of correct classification? Neural Computation

  9. White circles are p(correct) as a function of stimulus coherence Monkeys response is as if based on two alternative forced choice Two alternative forced choice Neural Computation

  10. Discriminability Neural Computation

  11. Discriminability (details) Discuss ex. 3.1 Neural Computation

  12. Likelihood ratio Neural Computation

  13. Neyman-Pearson Lemma Neural Computation

  14. Neyman-Pearson Lemma Neural Computation

  15. Neyman-Pearson Lemma Neural Computation

  16. Cricket cercal system • Consider response of a population of neurons p(r1,…,rN|s) • Consider a stimulus that is parametrized by a continuous value • Cricket cercal system • Hair cells send spike when deflected by wind • 4 inter-neurons receive input from thousands of hair cells Neural Computation

  17. Cricket cercal system Neural Computation

  18. Cricket cercal system Neural Computation

  19. Monkey primary motor cortex (M1) Neural Computation

  20. Monkey primary motor cortex (M1) Neural Computation

  21. Optimal decoding Neural Computation

  22. Optimal decoding Neural Computation

  23. Optimal decoding details • log p(r|s) \propto \sum_{a=1}^4 (r_a-f_a(s))^2 • Assume f_a(s)=c_{ai} v_i • Then log p(r|s) as a function of v has maximum at • Sum_{ja} c_{ia} c_{ja} v_j = sum_a c_{ia} r_a • This is the MAP estimate • Bayesian estimate requires p(s|r) which is a normalized version of p(r|s) as a function of s. Neural Computation

  24. Bayesian vs. Population vector decoding Neural Computation

  25. Bayesian vs. Population vector decoding Neural Computation

  26. Bayesian vs. Population vector decoding Neural Computation

  27. Bias and variance Neural Computation

  28. Bias and variance Neural Computation

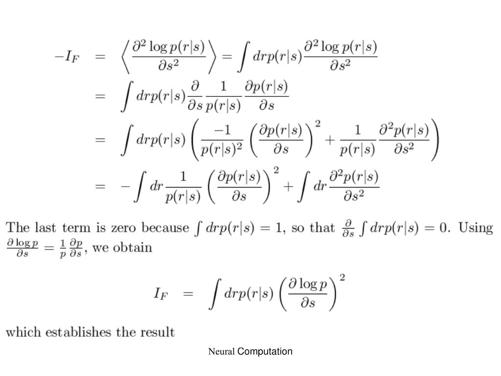
  29. Fisher information Neural Computation

  30. Neural Computation

  31. Fisher information Neural Computation

  32. Fisher information Neural Computation

  33. Fisher information Neural Computation

  34. Neural Computation

  35. Neural Computation

  36. S_est=sum_i a_i r_i sum_i a_i=1 r_i is unbiased estimator of s < s_est > = sum_i a_i s= s Sigma^2_est=sum_i a_i^2 sigma^2 A_i =1/n -> Sigma^2_est = sigma^2/n optimal A_i different is suboptimal. Neural Computation

  37. Fisher information Neural Computation

  38. Fisher information Neural Computation

  39. Neural Computation

  40. Spike Train decoding Neural Computation

  41. Spike Train decoding Neural Computation

  42. Spike Train decoding Neural Computation

  43. Summary Decoding of stimulus from response Two choice case Discrimination ROC curves Population decoding MAP and ML estimators Bias and variance Fisher information, Cramer-Rao bound Spike train decoding Neural Computation

  44. Neural Computation

  45. Neural Computation

More Related