1 / 19

An example: Stand biomass estimation by LiDAR

-10. -5. 0. 5. 10. Height Growth [m/3yr]. An example: Stand biomass estimation by LiDAR. Stand biomass by LiDAR & Stand Density Chart. Stand Height. RMSE = 53.0 m 3 /ha Bias = -20.9 m 3 /ha Ratio of contribution = 0.94. Stand Density. Biomass. LiDAR Large footprint.

symona
Télécharger la présentation

An example: Stand biomass estimation by LiDAR

An Image/Link below is provided (as is) to download presentation Download Policy: Content on the Website is provided to you AS IS for your information and personal use and may not be sold / licensed / shared on other websites without getting consent from its author. Content is provided to you AS IS for your information and personal use only. Download presentation by click this link. While downloading, if for some reason you are not able to download a presentation, the publisher may have deleted the file from their server. During download, if you can't get a presentation, the file might be deleted by the publisher.

E N D

Presentation Transcript


  1. -10 -5 0 5 10 Height Growth [m/3yr] An example: Stand biomass estimation by LiDAR

  2. Stand biomass by LiDAR & Stand Density Chart Stand Height RMSE = 53.0 m3/ha Bias = -20.9 m3/ha Ratio of contribution = 0.94 Stand Density Biomass

  3. LiDARLarge footprint Harding, D.J., Lefsky, M.A., Parker, G.G., Blair, J.B., 2001. Laser altimeter canopy height profiles: methods and validation for closed-canopy, broadleaf forests. Remote Sensing of Environment 76, 283-297.

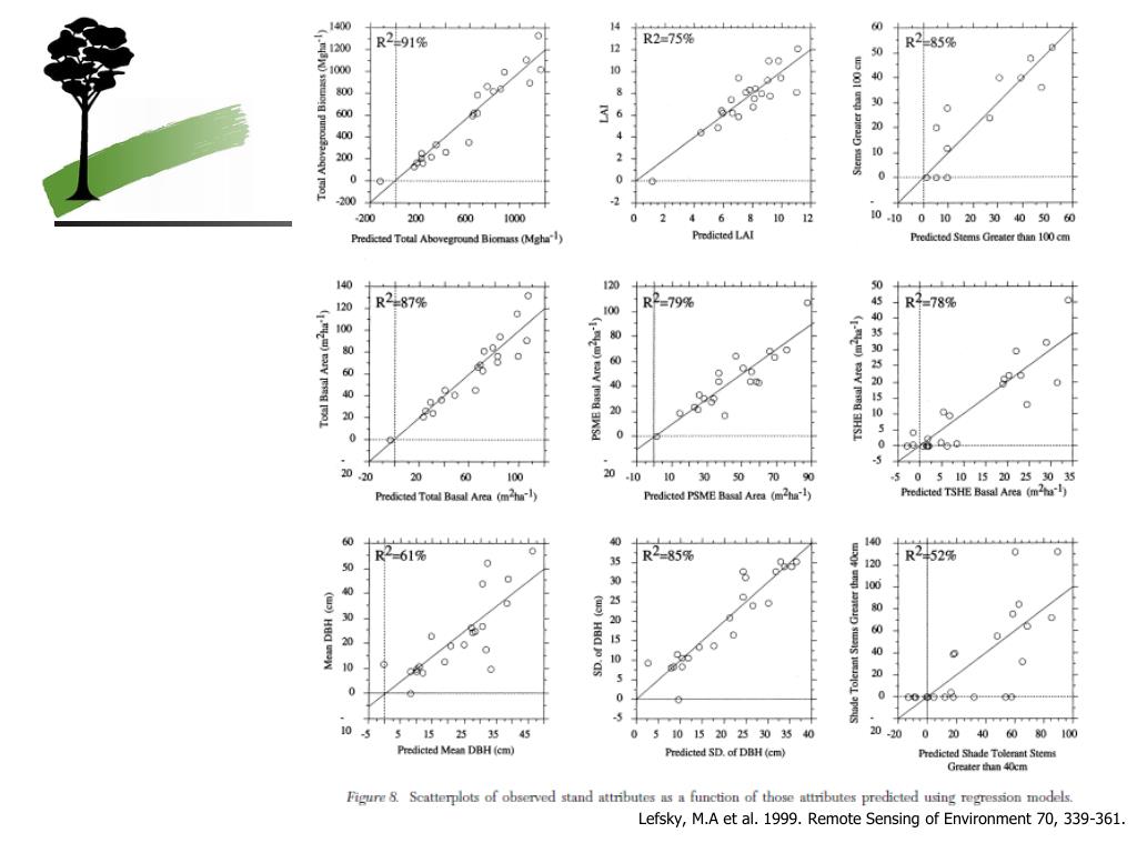
  4. Lefsky, M.A et al. 1999. Remote Sensing of Environment 70, 339-361.

  5. Do we actually tell you the truth by RS? • Need the accuracy control • How can we disseminate the developed techniques to the real forest management?

  6. Real world vs. satellite view Real land cover Satellite map vs.

  7. Real world vs. satellite viewError Matrix (real) Error Matrix Overall Accuracy K statistics Real land cover vs. Satellite map

  8. Real world vs. satellite viewError Matrix (random sample) Error Matrix / Multinominal Sampling Overall Accuracy K statistics Real land cover vs. Satellite map

  9. Real world vs. satellite viewError Matrix (random sample) Error Matrix / Multinominal Sampling Area Estimation Real land cover vs. Satellite map

  10. Real world vs. satellite viewError Matrix (stratified sample) Error Matrix / Stratified Sampling (Sat map) Overall Accuracy Real land cover vs. Satellite map

  11. Real world vs. satellite view Error Matrix (stratified sample) Error Matrix / Stratified Sampling (Sat map) Area Estimation Real land cover vs. Satellite map K statistics

  12. Accuracy evaluation is really awful • So many samples to make the result statistically relevant • On the field, we can never be ‘random’ • Many researches using RS skipped/ignored/pretended this process • Sometimes they induced problematic aftermath • How can we make them meaningful?

  13. Activities in Forested Landscapes FM/LM Measurement SFM/SLM RS C&I Research How can we disseminate RS to the real forest management?

  14. But… • Why? • How can we overcome? Remote sensing has not yet succeeded in the practical world – the world of application. Franklin (2001) “Remote Sensing for Sustainable Forest Management”

  15. Why RS is successful in researches, but not in real SFM? • No universal answers • Result here cannot be applied to there • What are the universal tendency of forested landscapes? • Ground truths expensive • Pitfall of ‘Professional’ monitoring • How to re-use the existing knowledge? • Credibility/accuracy • Khat syndrome, but actually makes sense? • Minimum guideline for assessable result • User’s capacity • Colorful Landsat image cannot intuitively be understood • High resolution image interpretation – intuitive & interesting

  16. For real use of RS, simple methods have been longed for • Less skill/equipment demanding • More intuitive analyses • Simpler procedures • More talks between the users and the RS specialists

  17. Conclusion • RS has been expected to contribute to the forest measurement and monitoring • Many methods have been developed • There are new sophisticated sensors and analysis techniques • Appropriate use will contribute to solve the mysteries in forests • To make RS work in the real world, we should also consider the impact of RS on the users/decision makers

  18. Thank you for your attention For more discussion, contact G.Takao@cgiar.org

  19. Chambers, J.Q et al., 2007. Regional ecosystem structure and function: ecological insights from remote sensing of tropical forests. TRENDS in Ecology and Evolution 22, 414-423.

More Related