abeni
Uploaded by
58 SLIDES
751 VUES
580LIKES

Chapter 9

DESCRIPTION

Chapter 9. Proportions and Similarity. Using Ratios and Proportions. 9-1. Using Ratios and Proportions. 9-1. Objective: Use ratios and proportions to solve problems. EX Write each ratio in simplest form. EX Write each ratio in simplest form.

1 / 58

Télécharger la présentation

Chapter 9

An Image/Link below is provided (as is) to download presentation Download Policy: Content on the Website is provided to you AS IS for your information and personal use and may not be sold / licensed / shared on other websites without getting consent from its author. Content is provided to you AS IS for your information and personal use only. Download presentation by click this link. While downloading, if for some reason you are not able to download a presentation, the publisher may have deleted the file from their server. During download, if you can't get a presentation, the file might be deleted by the publisher.

E N D

Presentation Transcript


  1. Chapter 9 Proportions and Similarity

  2. Using Ratios and Proportions 9-1

  3. Using Ratios and Proportions 9-1 Objective: Use ratios and proportions to solve problems EX Write each ratio in simplest form.

  4. EX Write each ratio in simplest form.

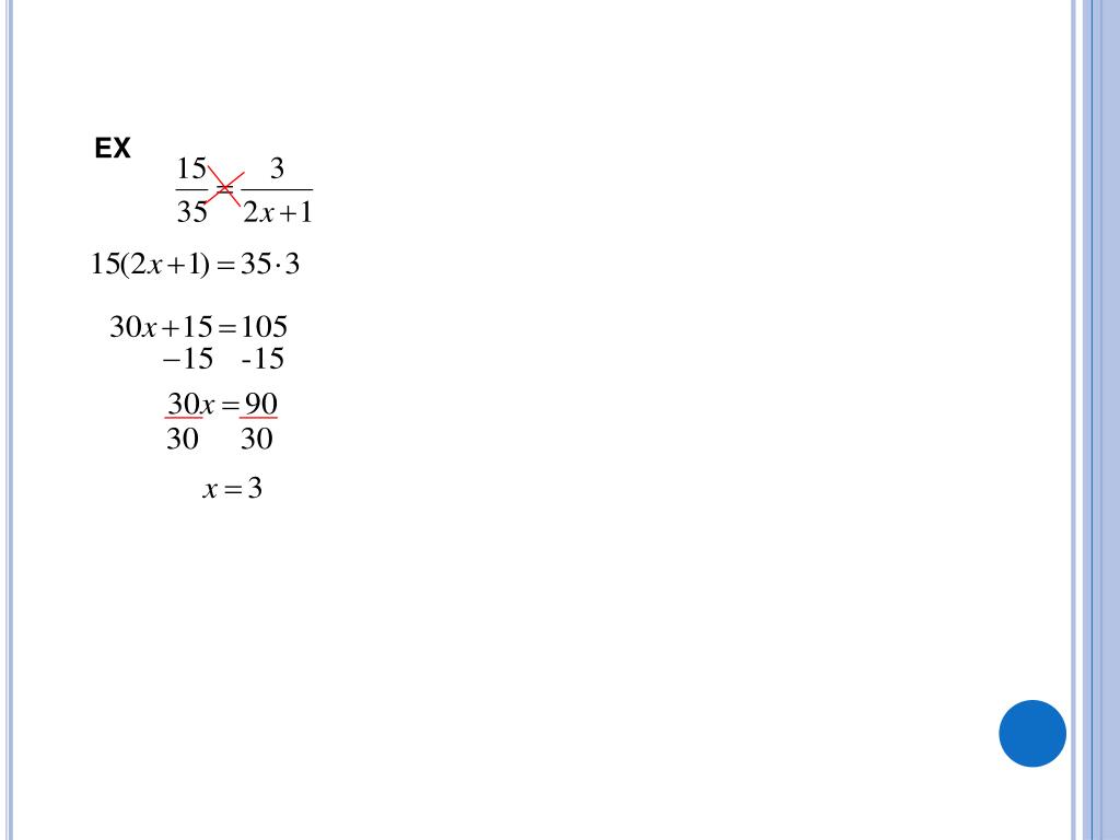
  5. Proportion – an equation that shows two equivalent ratios EX

  6. EX

  7. EX

  8. 9-2 Similar Polygons

  9. Objective: Identify similar polygons. 9-2 Similar Polygons Polygon – a closed figure in a plane formed by segments. Similar polygons – polygons that are the same shape but not necessarily the same size.

  10. Yes; the corresponding angles are congruent and the ratios are equal.

  11. No; the corresponding angles are not congruent.

  12. Because ABC ~ YXZ, you can write and solve a proportion. x 40 12 30 = EX If ABC ~ YXZ, find the value of x. 30x = 12  40 30x = 480 30 30 x = 16 8-2

  13. 4 4 -8 -8 4 4

  14. The actual dimensions of the living room are 24 feet by 20 feet.

  15. 9-3 Similar Triangles

  16. 9-3 Similar Triangles Objective: Use AA, SSS, and SAS similarity tests for triangles.

  17. GHK ~ JMP by SSS similarity.

  18. Find the value of x. QRN ~ XWT by SAS similarity. 3x = 45 x = 15

  19. 12 18 8x = 168 x = 21 The triangles are similar by SAS.

  20. x 4x = 108 x = 27 The tree is 27 ft tall.

  21. Proportional Parts and Triangles 9-4

  22. Proportional Parts and Triangles 9-4 Objective: Identify and use the relationships between proportional parts of triangles.

  23. H F G K F J 6x = 72 x = 12

  24. 4(x + 2) = 5x 4x + 8 = 5x -4x -4x 8 = x

  25. 9-5 Triangles and Parallel Lines

  26. Objective: Use proportions to determine whether lines are parallel to the sides of triangles. 9-5 Triangles and Parallel Lines

  27. 10 V

  28. 6a

  29. Proportional Parts and Parallel Lines Objective: Identify and use the relationships between parallel lines and proportional parts. 9-6

  30. RS

  31. 12x = 270 x = 22.5

  32. Perimeters and Similarity Objective: Identify and use proportional relationships of similar triangles. 9-7

More Related