1 / 23

ME 322: Instrumentation Lecture 38

ME 322: Instrumentation Lecture 38. April 25, 2014 Professor Miles Greiner. Announcements/Reminders. HW 12 Due now HW 13 Due Monday, 4/28/2014 L12PP (proportional/integral control) HW 14 Due Wednesday, 4/30/2014 X3 (post soon, Last HW assignment) Review Labs 9, 10, 11, and 12;

cate
Télécharger la présentation

ME 322: Instrumentation Lecture 38

An Image/Link below is provided (as is) to download presentation Download Policy: Content on the Website is provided to you AS IS for your information and personal use and may not be sold / licensed / shared on other websites without getting consent from its author. Content is provided to you AS IS for your information and personal use only. Download presentation by click this link. While downloading, if for some reason you are not able to download a presentation, the publisher may have deleted the file from their server. During download, if you can't get a presentation, the file might be deleted by the publisher.

E N D

Presentation Transcript


  1. ME 322: InstrumentationLecture 38 April 25, 2014 Professor Miles Greiner

  2. Announcements/Reminders • HW 12 Due now • HW 13 Due Monday, 4/28/2014 • L12PP (proportional/integral control) • HW 14 Due Wednesday, 4/30/2014 • X3 (post soon, Last HW assignment) • Review Labs 9, 10, 11, and 12; • 4/30 and 5/2 • Open Lab Practice • May 2-4 • Lab Practicum Finals (May 6-13) • Guidelines, Schedule • http://wolfweb.unr.edu/homepage/greiner/teaching/MECH322Instrumentation/Tests/Index.htm • Next week: Lab 12 Feedback Control • Extra Credit Lab 12.1 • See Lab 12 instructions (study effect of DT, DTi, TSP, heater and TC locations) • Check out Lab-in-a-Box for DeLaMare Library • Only 0.5% of grade

  3. Lab 12 Setup • Measure the beaker water temperature using a thermocouple/conditioner/myDAQ/VI • Use myDAQ analog output (AO) connected to a digital relay to turn heater on/off, and control the water temperature • Use Fraction of Time On (FTO) to control heater power

  4. Last HW: Proportional Control • Use FTO when T is within DT below TSP • Define • Three temperature zones: • For , f > 1FTO = 1 • For , 1 > f >0 • For , f < 0FTO = 0 • Corrective Heat input: • Q = QMAX*FTO = • QMAX= V2/R • For DT = 0, Proportional becomes full power On/Off

  5. Proportional Control VI • You did this in HW

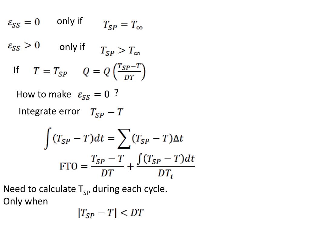
  6. Integrate Error When T-TSP > 0 Decrease FTOi • Proportional Control had steady state error when temperature was steady • Integrate error • Corrective Action from integration • FTOi will • Increase with time when ) • Decreasewith time when ) • Stay constant when • How to choose DTi? • Q will be too responsive if DTi is small (or not responsive enough if DTi is too large) • Wait for temperature to be steady before turning on integral control (Decreasing DTi) When T-TSP < 0 Increase FTOi

  7. How to implement in LabVIEW • Need to calculate at each time step and sum • Within While Loop • Use Shift Register to pass data from one step to the next • Modify Proportional Controller to include integration

  8. Figure 2 VI Block Diagram • Modify proportional VI • http://wolfweb.unr.edu/homepage/greiner/teaching/MECH322Instrumentation/Labs/Lab%2012%20Thermal%20Control/Lab%20Index.htm

  9. Figure 1 VI Front Panel • Plots help the user monitor the measure and set-point temperatures T and TSP, temperature error T–TSP, and control parameters

  10. Modify Proportional Control • Shift register, input DTi • Add FTOi to FTOp • Display FTOi (bar and numerical indicators) • Add 10log(DTi)and log(DTi) to plots • Add Write to Measurement File VI • Use next available file name • Microsoft Excel • One time column

  11. Process Sample Data • http://wolfweb.unr.edu/homepage/greiner/teaching/MECH322Instrumentation/Labs/Lab%2012%20Thermal%20Control/Lab%20Index.htm • Add time scale in minutes • Calculate difference, general format, times 24*60 • Figure 3 • Plot T, TSP, DT and 10log(DTi) versus time • Figure 4 • Plot T-TSP, -DT, 10log(DTi) and 0 versus time • Table 1 • Determine time periods when behavior reaches “steady state,” and find and during those times • Figure 5 • Plot versus DT and DTi • Figure 6 • Plot versus DT and DTi

  12. Figure 3 Measured, Set-Point, Lower-Control Temperatures and DTi versus Time • Data was acquired for 40 minutes with a set-point temperature of 85°C. • The time-dependent water temperature is shown with different values of the control parameters DT and DTi. • Proportional control is off when DT = 0 • Integral control is effectively off when DTi = 107 (10log(DTI) = 70)

  13. Figure 4 Temperature Error, DT and DTi versus Time • The temperature oscillates for DT = 0, 5, and 15°C, but was nearly steady for DT = 20°C. • DTi was set to 100 from roughly t = 25 to 30 minutes, and then increased to 1000. • The controlled-system behavior depends on the relative locations of the heater, thermocouple, and side of the beaker, and the amount of water in the beaker. These parameters were not controlled during the experiment.

  14. Table 1 Controller Performance Parameters • This table summarize the time periods when the system exhibits steady state behaviors for each DT and DTi. • During each steady state period • TA is the average temperature • TA – TSP is an indication of the average controller error. • The Root-Mean-Squared temperature TRMS is an indication of controller unsteadiness

  15. Figure 5 Controller Unsteadiness versus Proportionality Increment and Set-Point Temperature • TRMS is and indication of thermocouple temperature unsteadiness • Unsteadiness decreases as DT increases, and is not strongly affected by DTi.

  16. Figure 6 Average Temperature Error versus Set-Point Temperature and Proportionality Increment • The average temperature error • Is positive for DT = 0, but decreases and becomes negative as DT increases. • Is significantly improved by Integral control.

  17. Proportional-Control Energy-Balance TENV QIN = FTO(QMAX) • Assume water temperature is uniform and equal to TC temperature • Let be the temperature under steady state conditions • Magnitude increases as and increase QOUT = hA(T-TENV) T

  18. Proportional Control Only need control if TSP > T∞ At steady state

  19. only if only if If ? Integrate error How to make Need to calculate TSP during each cycle. Only when

More Related