hedy
PRESENTED BY
45 SLIDES
1.34K VUES
540 LIKES

TRANSIENT CONDUCTION

DESCRIPTION

TRANSIENT CONDUCTION. Lumped Thermal Capacitance Method Analytical Method: Separation of Variables Semi-Infinite Solid: Similarity Solution Numerical Method: Finite Difference Method. volume V. surface area A s. Lumped Thermal Capacitance Method. negligible spatial effect.

1 / 45

Télécharger la présentation

TRANSIENT CONDUCTION

An Image/Link below is provided (as is) to download presentation Download Policy: Content on the Website is provided to you AS IS for your information and personal use and may not be sold / licensed / shared on other websites without getting consent from its author. Content is provided to you AS IS for your information and personal use only. Download presentation by click this link. While downloading, if for some reason you are not able to download a presentation, the publisher may have deleted the file from their server. During download, if you can't get a presentation, the file might be deleted by the publisher.

E N D

Presentation Transcript


  1. TRANSIENT CONDUCTION • Lumped Thermal Capacitance Method • Analytical Method: • Separation of Variables • Semi-Infinite Solid: • Similarity Solution • Numerical Method: • Finite Difference Method

  2. volume V surface area As Lumped Thermal Capacitance Method negligible spatial effect

  3. excess temperature: initial condition:

  4. thermal time constant : convection resistance : lumped thermal capacitance Thermocouple?

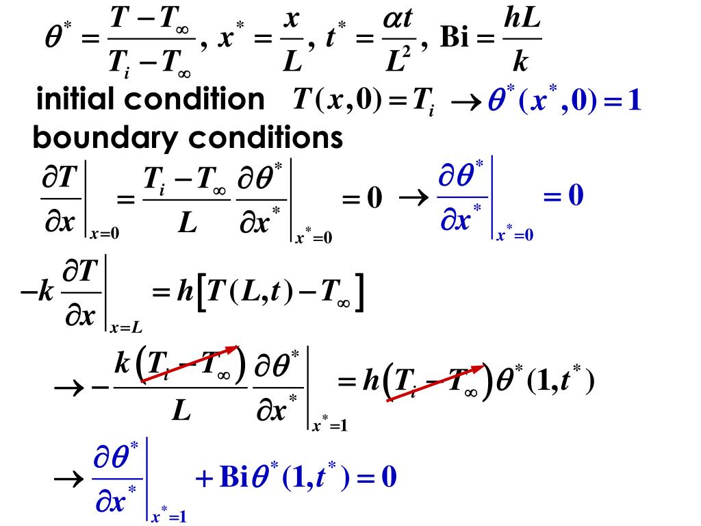
  5. Transient temperature response of lumped capacitance solids for different thermal time constant tt

  6. T2 T2 A B B A + ↑ V I - T1 T1 Seebeck effect (1821) Peltier effect (1834) Seebeck effect and Peltier effect

  7. total energy transfer in time t volume V surface area As

  8. Validation of Lumped Capacitance Method Bi : Biot number

  9. Transient temperature distributions for different Biot numbers in a plane wall symmetrically cooled by convection

  10. spatial effect is negligible. When Lc : characteristic length Fo : Fourier number (dimensionless time)

  11. Step 1: Heating Step 2: Cooling Te = ?°C Ti,o = 25°C Tc = 150°C Tt = 37°C curing cooling heating 300 s t = 0 t =tc t = te t = tt Example 5.3 2L = 3 mm epoxy e = 0.8 aluminumT(0) = Ti,o = 25°C T(tt) = 37°C Find: Total time tt required for the two-step process Assumption: Thermal resistance of epoxy is negligible.

  12. Aluminum: Epoxy qconv qrad Biot numbers for the heating and cooling processes Thus, lumped capacitance approximation can be applied. T(t)

  13. Te = ?°C Ti,o = 25°C Tc = 150°C Tt = 37°C curing cooling heating 300 s t = 0 t = tc t = te t = tt Numerical solutions Heating process tc = 124 s Curing process Te= 175°C Cooling process tt = 989 s

  14. Total time for the two-step process : Intermediate times :

  15. Analytical Method Separation of Variables Plane wall with convection i.c. b.c. L L x

  16. Dimensional analysis L: m [L] dimensionless variables Fo: Fourier number, Bi: Biot number

  17. Equation in dimensionless form

  18. initial condition boundary conditions

  19. Drop out * for convenience afterwards

  20. boundary conditions

  21. b.c.

  22. initial condition

  23. When Approximate solution at x = 0, Bi = 1.0 Fo = 0.1 Fo = 1 q1 1.0393 0.5339 q2 -0.0469 -1.22 10-5 q3 0.0007 4.7 10-20

  24. When See Table 5.1 Approximate solution

  25. total energy transfer (net out-going) maximum amount of energy transfer

  26. or Radial systems with convection ro r i.c. b.c.

  27. or dimensionless variables Drop out * for convenience afterwards i.c. b.c.

  28. Since

  29. initial condition

  30. Approximate solution Total energy transfer (net out-going) Since V = pL, dV = 2prdrL

  31. oil • Find: • Biot and Fourier numbers after 8 min • Temperature of exterior pipe surface after 8 min, T(0, 8 min) • Heat flux to the wall at 8 min, (8 min) • Energy transferred to pipe per unit length after 8 min, Example 5.4 insulation Steel, AISI 1010 • Assumption: • Pipe wall can be approximated as plane wall, since L << D.

  32. oil

  33. AISI 1010: from Table 5.1 1)Biand Fo at t = 8 min 2) T(0, 8 min) With Bi = 0.313, the lumped capacitance method is inappropriate. However, since Fo > 0.2, approximate solution can be applicable.

  34. 3) 4) The energy transfer to the pipe wall over the 8-min interval

  35. Ts x1 = d(t1) x2 = d(t2) 1 1 Semi-Infinite Solid: Similarity Solution i.c. b.c. Ti x similarity solution similarity variable

  36. Let Scaling analysis Ts x Ti x = d(t)

  37. i.c. b.c. merge into one Ts x Ti x = d(t)

  38. or Similarity solution integrating factor

  39. error function: erfc: complimentary error function

  40. Ti x Ts x2 = d(t2) x1 = d(t1)

More Related