1 / 21

Wind Driven Circulation I: Planetary boundary Layer near the sea surface

Wind Driven Circulation I: Planetary boundary Layer near the sea surface. Monin-Obukhoff Similarity Theory. Surface layer (several tens of meters above surface, 10-15% of the planetary boundary layer) in nearly steady condition Vertical turbulent flux is nearly constant

honey
Télécharger la présentation

Wind Driven Circulation I: Planetary boundary Layer near the sea surface

An Image/Link below is provided (as is) to download presentation Download Policy: Content on the Website is provided to you AS IS for your information and personal use and may not be sold / licensed / shared on other websites without getting consent from its author. Content is provided to you AS IS for your information and personal use only. Download presentation by click this link. While downloading, if for some reason you are not able to download a presentation, the publisher may have deleted the file from their server. During download, if you can't get a presentation, the file might be deleted by the publisher.

E N D

Presentation Transcript


  1. Wind Driven Circulation I:Planetary boundary Layer near the sea surface

  2. Monin-Obukhoff Similarity Theory Surface layer (several tens of meters above surface, 10-15% of the planetary boundary layer) in nearly steady condition Vertical turbulent flux is nearly constant horizontal homogeneity (the scale of vertical variation is much smaller than horizontal) The turbulent mixing length l=z =0.4±0.01 is von Karman constant Momentum flux u* is frictional velocity () is a universal function of L is the Monin-Obukhoff length At altitudes below L, shear production of turbulent kinetic energy dominates over buoyant production of turbulence.

  3. In neutral condition, ()=1 von Karman logarithmic law of wall The surface momentum flux is zo is aerodynamic roughness length If we choose wind measurement at a certain height, e.g., 10m above the sea surface, the bulk formula is is 10m neutral drag coefficient

  4. Surface wind stress • Approaching sea surface, the geostrophic balance is broken, even for large scales. • The major reason is the influences of the winds blowing over the sea surface, which causes the transfer of momentum (and energy) into the ocean through turbulent processes. • The surface momentum flux into ocean is called the surface wind stress ( ), which is the tangential force (in the direction of the wind) exerting on the ocean per unit area (Unit: Newton per square meter) • The wind stress effect can be constructed as a boundary condition to the equation of motion as

  5. Wind stress Calculation • Direct measurement of wind stress is difficult. • Wind stress is mostly derived from meteorological observations near the sea surface using the bulk formula with empirical parameters. • The bulk formula for wind stress has the form Where is air density (about 1.2 kg/m3 at mid-latitudes), V (m/s), the wind speed at 10 meters above the sea surface, Cd, the empirical determined drag coefficient

  6. Drag Coefficient Cd • Cd is dimensionless, ranging from 0.001 to 0.0025 (A median value is about 0.0013). Its magnitude mainly depends on local wind stress and local stability. • Cd Dependence on stability (air-sea temperature difference). More important for light wind situation For mid-latitude, the stability effect is usually small but in tropical and subtropical regions, it should be included. • CdDependence on wind speed.

  7. Cd dependence on wind speed in neutral condition Large uncertainty between estimates (especially in low wind speed). Lack data in high wind

  8. Annual Mean surface wind stress Unit: N/m2, from Surface Marine Data (NODC)

  9. December-January-February mean wind stress Unit: N/m2, from Surface Marine Data (NODC)

  10. December-January-February mean wind stress Unit: N/m2, from Scatterometer data from ERS1 and 2

  11. June-July-August mean wind stress Unit: N/m2, from Surface Marine Data (NODC)

  12. June-July-August mean wind stress Unit: N/m2, Scatterometers from ERS1 and 2

  13. The primitive equation (1) (2) (3) (4) Since the turbulent momentum transports are , , etc We can also write the momentum equations in more general forms At the sea surface (z=0), turbulent transport is wind stress. ,

  14. Assumption for the Ekman layer near the surface • Az=const • Steady state (steady wind forcing for long time) • Small Rossby number • Large vertical Ekman Number • Homogeneous water (=const) • f-plane (f=const) • no lateral boundaries (1-d problem) • infinitely deep water below the sea surface

  15. Ekman layer • Near the surface, there is a three-way force balance Coriolis force+vertical dissipation+pressure gradient force=0 Geostrophic current Take and let Ageostrophic (Ekman) current (note that VE is not small in comparison to Vg in this region) then

  16. The Ekman problem (1) (2) Boundary conditions At z=0, As z- ,. , . (3) (5) (6) (4) Let (complex variable), take (1) + i(2), we have Since (7)

  17. Take (3) + i (4), we have (3) z=0, (4) Define (8) (5) Take (5) + i (6), we have As z-, (9) (6) Group equations (7), (8), and (9) together, we have (7) At z=0, (8) (9) As z-

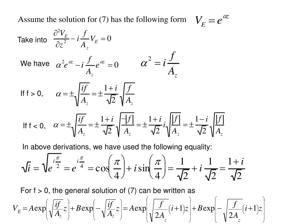
  18. Assume the solution for (7) has the following form Take into We have If f > 0, If f < 0, In above derivations, we have used the following equality: For f > 0, the general solution of (7) can be written as

  19. (8) As z- Therefore, B=0 because grow exponentially as z- and Then At z=0, (9) then and The final solution to (7), (8), (9) is

  20. Given Set , where and Also note that We have Current Speed: (=0, eastward) Phase (direction):

  21. If f < 0,

More Related