idania
Uploaded by
12 SLIDES
4703 VUES
960LIKES

Simpson’s 3/8 Rule

DESCRIPTION

Simpson’s 3/8 Rule. By: Mufan Yang. What is Simpson’s 3/8 Rule.

1 / 12

Télécharger la présentation

Simpson’s 3/8 Rule

An Image/Link below is provided (as is) to download presentation Download Policy: Content on the Website is provided to you AS IS for your information and personal use and may not be sold / licensed / shared on other websites without getting consent from its author. Content is provided to you AS IS for your information and personal use only. Download presentation by click this link. While downloading, if for some reason you are not able to download a presentation, the publisher may have deleted the file from their server. During download, if you can't get a presentation, the file might be deleted by the publisher.

E N D

Presentation Transcript


  1. Simpson’s 3/8 Rule By: MufanYang

  2. What is Simpson’s 3/8 Rule Simpson’s 3/8 is very similar to the Simpson’s Method that we already learned in class. The different is Simpson’s 3/8 method uses a third degree polynomial (cubic) to estimate the curve you are trying to find the integral of while Simpson’s Method (also calledSimpson’s 1/3 Method) uses a second degree polynomial (quadratic)

  3. To get the estimate for an integral in this case, we will write out the 3rd degree polynomial using the general equation below and then integrate it.

  4. How do we get the formula: We begin by integrating the 3rd degree Polynomialp(t)=c3t3+c2t2+c1t+c0.

  5. Substitute , , , and values back into the equation. h = (𝑏−𝑎)/N , where Nis a positive multiple of 3 so another way to look at this is h = (𝑏−𝑎)/3𝑛 , where n is the number of partitions being used.

  6. Here we are using a single partition. 1 Partition = a a + h a + 2h b=a+3h

  7. Use2 partitions for this formula: () + () = ()() = ()(f(a)+3f(a+h)+3f(a+2h)+2f(a+3h)+3f(a+4h)+3f(a+5h)+f(b)) a+3h a+5h b = a+6h a+4h

  8. Conclusion: So we can see that the equation for the Simpson’s 3/8 Rule is: Each of the function values will be multiplied by 3 or 2 except for the first and the last. The number of subinterval points will need to be multiples of 3’s.

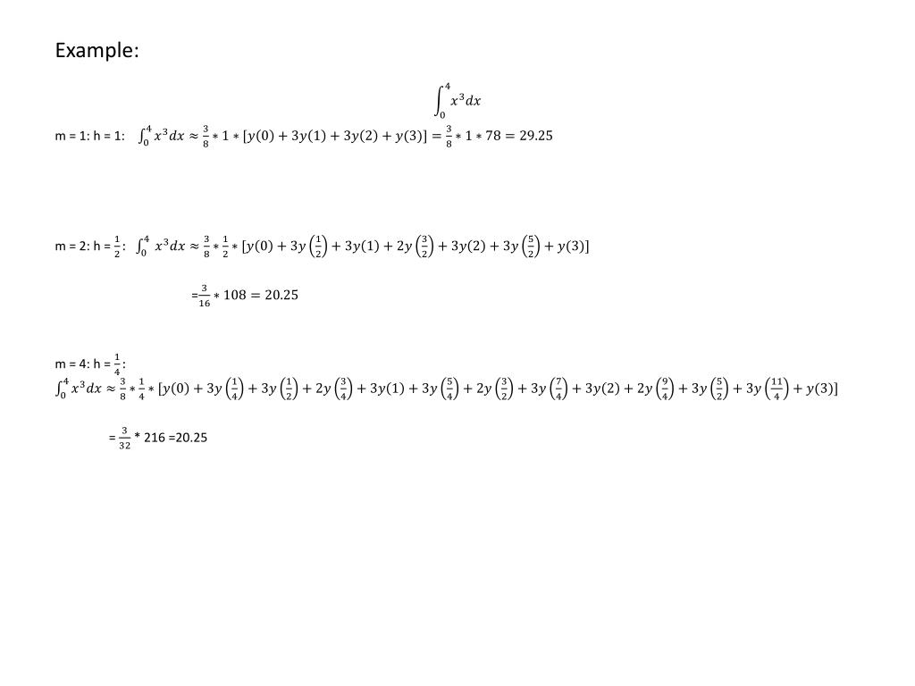
  9. Example: m = 1: h = 1: m = 2: h = = m = 4: h = = * 216 =20.25

  10. Simpson’s 1/3 Rule VS Simpson’s 3/8 Rule Advantages: • Can use an odd or even number of subintervals rather than just an even number of subintervals as used in the Simpson’s 1/3 Rule. • Can converge to estimated integral values much quicker than Simpson’s 1/3 Rule • Has the same order of accuracy as the Simpson’s 1/3 Rule when calculating the absolute error, but the Simpson’s 3/8 Rule is actually slightly more accurate. But the fraction used in this error will be smaller and then will provide a more accurate error. Disadvantages: • This rule requires multiple of 3 segments only. • When calculating the value by hand this rule is more complicated. and 1/3 Rule:

  11. References Module for Simpson’s 3/8 Rule for Numerical Integration. (2012). Retrieved from http://math.fullerton.edu/mathews/n2003/Simpson38RuleMod.html. Nguyen, Duc. Chapter 07.08: Simpson 3/8 Rule For Integration. University of South Florida. http://numbericalmethods.eng.usf.edu. Wikipedia. Simpson’s Rule. Retrieved from http://en.wikipedia.org/wiki/Simpson%27s_rule.

More Related
SlideServe
Audio
Live Player
Audio Wave
Play slide audio to activate visualizer