andrew-james
Uploaded by
20 SLIDES
348 VUES
200LIKES

Weakly Coupled Oscillators

DESCRIPTION

Weakly Coupled Oscillators. Will Penny. Wellcome Trust Centre for Neuroimaging , University College London, UK. IMN Workshop on Interacting with Brain Oscillations, 33 Queen Square, London. Friday 12 th March 2010. For studying synchronization among brain regions

1 / 20

Télécharger la présentation

Weakly Coupled Oscillators

An Image/Link below is provided (as is) to download presentation Download Policy: Content on the Website is provided to you AS IS for your information and personal use and may not be sold / licensed / shared on other websites without getting consent from its author. Content is provided to you AS IS for your information and personal use only. Download presentation by click this link. While downloading, if for some reason you are not able to download a presentation, the publisher may have deleted the file from their server. During download, if you can't get a presentation, the file might be deleted by the publisher.

E N D

Presentation Transcript


  1. Weakly Coupled Oscillators Will Penny Wellcome Trust Centre for Neuroimaging, University College London, UK IMN Workshop on Interacting with Brain Oscillations, 33 Queen Square, London. Friday 12th March 2010

  2. For studying synchronization among brain regions Relate change of phase in one region to phase in others Region 2 Region 1 ? ? Region 3

  3. Hippocampus Septum Connection to Neurobiology: Septo-Hippocampaltheta rhythm Denham et al. Hippocampus. 2000: Wilson-Cowan style model

  4. Four-dimensional state space

  5. Hippocampus Septum Hopf Bifurcation A B A B

  6. For a generic Hopf bifurcation (Ermentrout& Kopell, SIAM Appl Math, 1990) See Brown et al. Neural Computation, 2004for PRCs corresponding to other bifurcations

  7. DCM for Phase Coupling – SPM8

  8. MEG Example Fuentemilla et al, Current Biology, 2009 1) No retention (control condition): Discrimination task + 2) Retention I (Easy condition): Non-configural task + 3) Retention II (Hard condition): Configural task + 5 sec 3 sec 5 sec 1 sec MAINTENANCE PROBE ENCODING

  9. Delay activity (4-8Hz) Friston et al. Multiple Sparse Priors. Neuroimage, 2008

  10. Difference in theta power between conditions

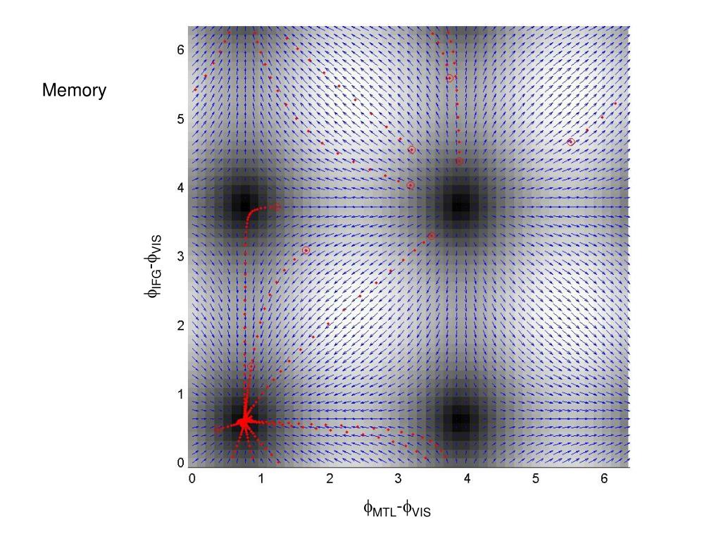
  11. Questions • Duzel et al. find different patterns of theta-coupling in the delay period • dependent on task. • Pick 3 regions based on [previous source reconstruction] • 1. Right MTL [27,-18,-27] mm • 2. Right VIS [10,-100,0] mm • 3. Right IFG [39,28,-12] mm • Fit models to control data (10 trials) and hard data (10 trials). Each trial • comprises first 1sec of delay period. • Find out if structure of network dynamics is Master-Slave (MS) or • (Partial/Total) Mutual Entrainment (ME) • Which connections are modulated by (hard) memory task ?

  12. Data Preprocessing • Source reconstruct activity in areas of interest (with fewer sources than • sensors and known location, then pinv will do; Baillet et al, IEEE SP, 2001) • Bandpass data into frequency range of interest • Hilbert transform data to obtain instantaneous phase • Use multiple trials per experimental condition

  13. MTL Master VIS Master IFG Master 1 IFG 3 5 VIS IFG VIS IFG VIS Master- Slave MTL MTL MTL IFG 6 VIS 2 IFG VIS 4 IFG VIS Partial Mutual Entrainment MTL MTL MTL 7 IFG VIS Total Mutual Entrainment MTL

  14. Bayesian Model Comparison LogEv Model Penny et al, Comparing Dynamic Causal Models, Neuroimage, 2004

  15. 0.77 2.46 IFG VIS 0.89 2.89 MTL Estimated parameter values:

  16. Control fIFG-fVIS fMTL-fVIS

  17. Memory fIFG-fVIS fMTL-fVIS

  18. In agreement with spike-LFP recordings by Jones & Wilson, PLoSBiol 2005

More Related